
Τ.Ο.Ε.Β Χαλκηδόνας
Καλώς ήρθατε στην ιστοσελίδα του Τοπικού Οργανισμού Εγγείων Βελτιώσεων Χαλκηδόνας
Τελευταία Νέα & Ανακοινώσεις



ΚΟΙΝΟΠΟΙΗΣΗ ΚΑΤΑΣΤΑΣΕΩΝ ΕΙΣΦΟΡΩΝ 2026


Ανακοίνωση Ρυζοκαλλιέργειας 2026

Πρόσληψη προσωπικού με Σ.Ο.Χ

Ρυζοκαλλίεργεια 2 0 2 5

Ρυζοκαλλιέργεια 2 0 2 4

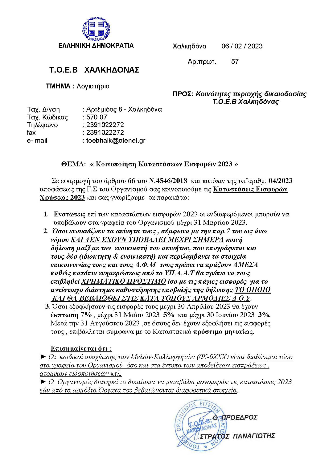
Κοινοποίηση Καταστάσεων Εισφορών 2023

ΡΥΖΟΚΑΛΛΙΕΡΓΕΙΑ 2023

ΖΩΝΕΣ ΕΡΓΟΥ
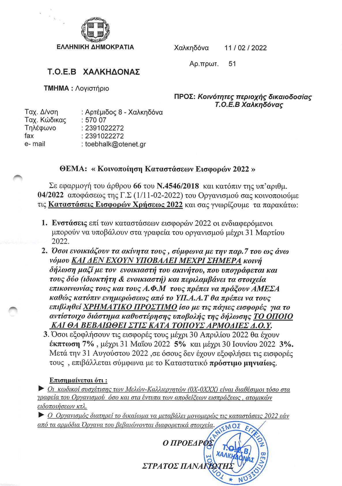
Κοινοποίηση Καταστάσεων 2022



Από την Δευτέρα 08/11 για την είσοδο στα γραφεία του Τ.Ο.Ε.Β όλοι οι συναλλασσόμενοι θα πρέπει να έχουν μαζί τους τα προβλεπόμενα από την νέα Κ.Υ.Α έγγραφα για την αντιμετώπιση του COVID-19.

ΡΥΖΟΚΑΛΛΙΕΡΓΕΙΑ 2 0 2 2
Ξεκίνησε η υποβολή αιτήσεων




Ο Κ. Στράτος Παναγιώτης επανεξελέγη Πρόεδρος για ακόμη μία 4ετία στον Τ.Ο.Ε.Β Χαλκηδόνας στις εκλογές της 10/07/2020

ΝΟΜΟΘΕΣΙΑ ΠΕΡΙ ΠΡΟΣΩΠΙΚΩΝ ΔΕΔΟΜΕΝΩΝ

Ο Οργανισμός δηλώνει ρητά και υπεύθυνα, ότι έχοντας λάβει γνώση του ρυθμιστικού πλαισίου του Γενικού Κανονισμού και αναγνωρίζοντας τις υποχρεώσεις που απορρέουν από αυτόν, έχει καταβάλλει κάθε δυνατή προσπάθεια, για να συμμορφωθεί με το ισχύον κανονιστικό και νομοθετικό πλαίσιο, ειδικά όσον αφορά την εν γένει προστασία του ατόμου και δη των δεδομένων προσωπικού χαρακτήρα του που υπόκεινται σε επεξεργασία.


















